How Many Unique AR Tags Exist? A Formula
02 Jan 2016 by Adam Allevato
Originally published January 2, 2016.
In our robotics lab at UT Austin, we often use augmented reality (AR) tags to determine the position and orientation of an object. UT professor Scott Niekum made this possible by developing the ar_track_alvar ROS package while he was still a PhD student. The package makes detecting AR tags as easy as running a roslaunch file (with some slight configuration tweaks).
But as we started placing AR tags on every item in our mock nuclear storage vault, Ben Ebersole asked: just how many possible AR tag permutations are possible? If we want to put a unique tag on 10,000 different items, how large does the tag have to be? Is 4x4 enough? 5x5? And so began my mini math-quest for the answer.
Problem statement
We want to find the number of unique, identifiable AR tags. AR tags are a square grid of cells which can be either black or white. The entire tag has a black border, which we will ignore when calculating tag size.
A tag may not be rotationally symmetric with itself, nor can it be mirror-symmetric with itself. This requirement ensures that the algorithm can always calculate an unambiguous 6DOF pose for the marker, and it’s also what makes it tricky to come up with a formula for the number of possible tags for a given size. Also, note that for odd-numbered sizes (like 5x5), there is a single middle square. In even-numbered sizes, there is no single center square. This means that the formulas for the odd-numbered and even-numbered sizes will be slightly different.
Solution
We want a formula for the number of unique orientable AR tags that can be represented by an n x n grid of black-and-white squares (each square can store one bit). The easiest way to derive a formula is to look at the odd- and even-numbered sizes separately.
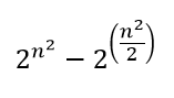
Even
First, calculate the number of squares in the tag’s grid. This is easy, it’s n². Now, the number of possible combinations of black and white bits in the tag is 2^(n²). Simple so far, right?
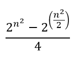
Now we have to subtract off the mirror-symmetric tags. For each possible half of the tag (let’s call it A), there is a full tag that has a top half A and a bottom half that is the mirror image of A. So we need to subtract one for each possible upper half of the tag. The number of possible upper halves is 2^(n²/2).

Finally we have to take out rotational symmetry. For each possible non-mirror-symmetric correct AR tag, there are 3 more (90, 180, and 270 degree rotations) which look exactly the same, but rotated. A robot can’t tell the difference between a tag that’s rotated 90 degrees and a tag that looks like another tag rotated 90 degrees, so all the rotations will have to go. Just divide by 4.

Odd
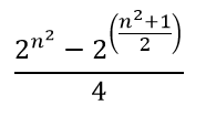
We still have to handle odd sizes, like 5x5! Thankfully, this one is almost exactly the same. We just have to think about the middle square when looking at the “half-tags.”

Combined formula
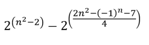
We can do some fancy math using (-1)^n to combine the odd and even formulas into a single formula.

Results
For an n x n AR tag (disregarding the black border), the number of unique tags for 6DOF pose estimation is given by:
permutations = 2^(n^2-2) - 2^((2*n^2-(-1)^n-7)/4)
And here are the permutations for common sizes:
| n x n | Permutations |
|---|---|
| 2x2 | 3 |
| 3x3 | 120 |
| 4x4 | 16,320 |
| 5x5 | 8,386,560 |